Cinque Terre
Jannatul Ferdaus
Prospective MS/PhD Student

syeda.jannat243@gmail.com
Curriculum Vitae

Witty Quote

“By far, the greatest danger of Artificial Intelligence is that people conclude too early that they understand it." – Eliezer Yudkowsky

Conference Papers
Card image cap
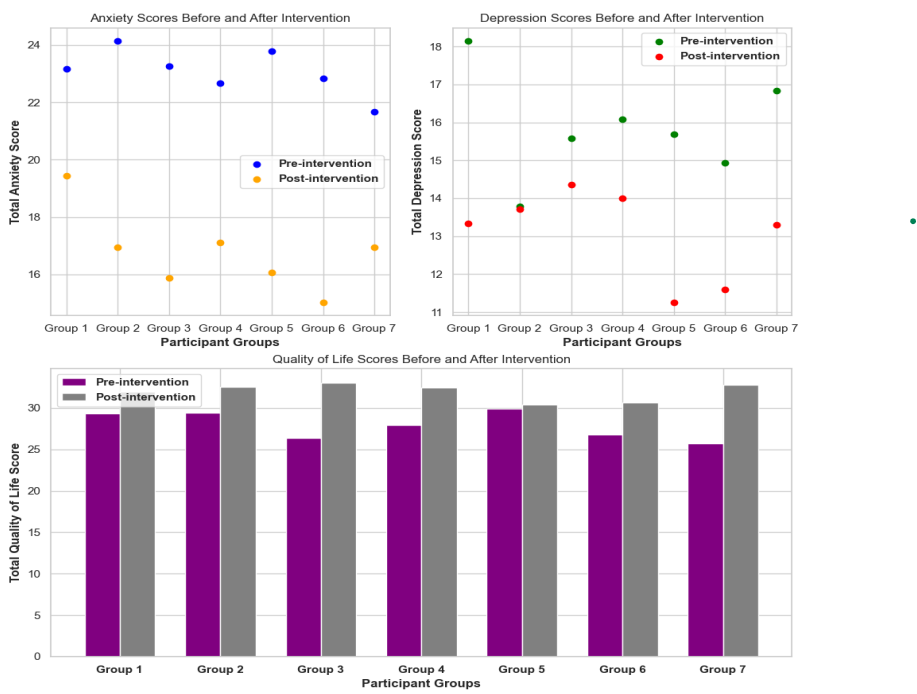
Investigating the Efficacy of Machine Learning-Enhanced Mindfulness-Based Interventions for Individuals with Emotional and Intellectual Disabilities

Jannatul Ferdaus

Arxiv

This study explores the integration of machine learning techniques into mindfulness-based interventions (MBIs) to enhance the quality of life for individuals with emotional and intellectual disabilities. Mindfulness, characterized by the deliberate focus and refocus of attention on thoughts, feelings, and sensations, has emerged as a promising complementary treatment for various health issues. Our research investigates the efficacy of MBIs, such as Mindfulness-Based Stress Reduction (MBSR) and Mindfulness-Based Cognitive Therapy (MBCT), by employing machine learning models to analyze pre-and post-intervention data from 35 participants. The data collection process utilized convenience sampling and included demographic, psychological, and engagement metrics. Machine learning algorithms, including regression and classification models, were applied to discern patterns and predict improvements in mental health outcomes. The study aims to contribute to academic literature by demonstrating the potential of machine learningenhanced MBIs to support individuals with intellectual disabilities, offering insights into personalized intervention strategies.
@article{ferdausinvestigating, title={INVESTIGATING THE EFFICACY OF MACHINE LEARNING-ENHANCED MINDFULNESS-BASED INTERVENTIONS FOR INDIVIDUALS WITH EMOTIONAL AND INTELLECTUAL DISABILITIES}, author={Ferdaus, Jannatul and Pisupati, Sameera and Puppala, Sai and Hossain, Ismail and Alam, Md Jahangir and Talukder, Sajedul and Hasan, Mahedi} }

Card image cap
FedRobo: Federated Learning Driven Autonomous Inter Robots Communication For Optimal Chemical Sprays

Jannatul Ferdaus

Arxiv

Federated Learning enables robots to learn from each other’s experiences without relying on centralized data collection. Each robot independently maintains a model of crop conditions and chemical spray effectiveness, which is periodically shared with other robots in the fleet. A communication protocol is designed to optimize chemical spray applications by facilitating the exchange of information about crop conditions, weather, and other critical factors. The federated learning algorithm leverages this shared data to continuously refine the chemical spray strategy, reducing waste and improving crop yields. This approach has the potential to revolutionize the agriculture industry by offering a scalable and efficient solution for crop protection. However, significant challenges remain, including the development of a secure and robust communication protocol, the design of a federated learning algorithm that effectively integrates data from multiple sources, and ensuring the safety and reliability of autonomous robots. The proposed cluster-based federated learning approach also effectively reduces the computational load on the global server and minimizes communication overhead among clients.
@article{ferdaus2024fedrobo, title={FedRobo: Federated Learning Driven Autonomous Inter Robots Communication For Optimal Chemical Sprays}, author={Ferdaus, Jannatul and Pisupati, Sameera and Hasan, Mahedi and Paladugu, Sathwick}, journal={arXiv preprint arXiv:2408.06382}, year={2024} }

Card image cap
Generative AI like ChatGPT in Blockchain Federated Learning: use cases, opportunities and future

Jannatul Ferdaus,Sai Puppala, Ismail Hossain, Md Jahangir Alam, Sajedul Talukder, Mahedi Hasan, Sameera Pisupati, Shanmukh Mathukumilli

Arxiv

Federated learning has become a significant approach for training machine learning models using decentralized data without necessitating the sharing of this data. Recently, the incorporation of generative artificial intelligence (AI) methods has provided new possibilities for improving privacy, augmenting data, and customizing models. This research explores potential integrations of generative AI in federated learning, revealing various opportunities to enhance privacy, data efficiency, and model performance. It particularly emphasizes the importance of generative models like generative adversarial networks (GANs) and variational autoencoders (VAEs) in creating synthetic data that replicates the distribution of real data. Generating synthetic data helps federated learning address challenges related to limited data availability and supports robust model development. Additionally, we examine various applications of generative AI in federated learning that enable more personalized solutions.
@article{puppala2024generative, title={Generative AI like ChatGPT in Blockchain Federated Learning: use cases, opportunities and future}, author={Puppala, Sai and Hossain, Ismail and Alam, Md Jahangir and Talukder, Sajedul and Ferdaus, Jannatul and Hasan, Mahedi and Pisupati, Sameera and Mathukumilli, Shanmukh}, journal={arXiv preprint arXiv:2407.18358}, year={2024} }

Book Chapters
Research Articles